УТВЕРЖДАЮ

Директор САО РАН

____________ Балега Ю. Ю.

«      »  июня 1997 г.

 

 

 

 

СПРАВКА

Точностные характеристики наведения и ведения БТА

в мае 1997 г.

 

 

 

 

 

 

Составил:

                                      отв. астроном БТА Снежко Л.И.

 

 

 

 

 

 

 

 

 

 

 

 

 

 

п. Нижний Архыз

В период 1-2I мая 1997 г. планировалось исследование точностных характеристик БТА в связи с заменой УВК и УСО и с внесенными изменениями в систему, прежде всего отработки компенсации вращения поля. Необходимость этой работы была усилена возникшими утверждениями наблюдателей в ПФ БТА о низком качестве наведения и ведениями. Эти утверждения суммированы в докладной записке на имя зам. директора САО, подписанной и.о. зав. лабораториями В.Г. Клочковой и С.И. Неизвестным.

Проверка точностных характеристик была выполнена в технические            ночи, а также в ходе выполнения наблюдательных программ в ПФ БТА. Состояние телескопа регистрировалось по данным АСУ, а также датчиков скорости перемещения подвесок А и Z. Это позволило дать оценку не только накопленным ошибкам ведения, но и колебаниям на собственных частотах БТА.

I. Точность наведения БТА

Поле ошибок наведения БТА было получено для фокуса N2 21 мая 1997 г., соответствующие данные приведены в табл.1. Обработка этого поля дает следующие характеристики точности наведения в фокусе N2:

DA*sin Z = (+2.2       ± 3.0) угл. сек.

DZ *= (+1.2    ± 1.7) угл. сек.

На рис.1 представлены соответствующие кружки рассеяния ошибок наведения, редукция состоит в исправлении коэффициентов системы коррекции наведения (СКН). На рис. 2 представлены гистограммы распределения ошибок наведения, показывающие, что все ошибки наведения укладываются в прямоугольник размером (10x5) угл. сек.  Поэтому, несмотря на наличие неустраненной счетной ошибки СКН, 80% ошибок наведения лежат в круге радиусом = 5 угл. сек. Счетная ошибка увеличивает, прежде всего, дисперсию азимутальной ошибки наведения, после ее устранения среднеквадратичная ошибка наведения должна свестись к значению   ±2 угл. сек. для обеих составляющих.

Разовые наведения в ПФ и фокусе N1 показали, что объекты всегда попадают в квадрат (10x10) угл. сек. Устранение постоянного сдвига кружка рассеяния достигается определением коэффициентов СКН для каждого прибора и проверкой положения их центров в ПФ.

В течение месяца исполнители наблюдательных программ не предъявляли претензий к точности наведения, склоняясь даже к положительной оценке (N1,N2 и ПФ).

2. Точность программного ведения БТА

2.1.         15 мая 1997 г. наблюдатель в ПФ БТА в Тм = 22ч.36 мин. сделал запись в дежурном журнале:          "постоянные уходы по Z, приходится непрерывно гидировать". Сразу же была включена регистрация накопленной поправки коррекции наблюдателем программного ведения и произведена запись результатов этой коррекции в ходе экспозиции длительностью 120 мин. Результаты представлены в табл.2, где приведены московское время операции коррекции и значения накопленных поправок коррекции. В табл. 3 представлены первые разности данных табл.2, показывающие интервал времени между последовательными операциями коррекции и их результаты. На рис. 3 графически представлен процесс коррекции. Обработка этих данных дает следующие результаты: накопленная ошибка отсутствует в программном ведении БТА и средние значения

DA*sin Z = (+0.31 ± 0.21) угл. сек.

DZ = (- 0.11 ± 0.18) угл. сек.

Постоянные составляющие возникли из-за неопределенности начального значения (нуль-пункта) записи коррекции.

 

 

 

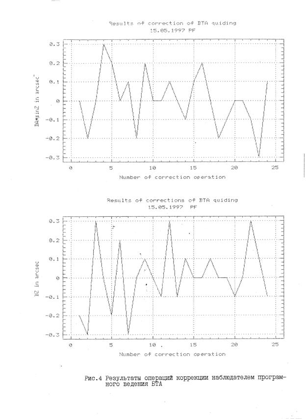
На рис.4 представлены результаты каждой операции коррекции. Обработка этих данных дает:

средний интервал между операциями коррекции    Δt =  (1.5 ± 1.0) мин.,

среднее значение поправок коррекции    DA*sin Z  = (0 ± 0.14) угл. сек.

DZ = (0 ± 0.16) угл. сек.

То-есть каждой последующей коррекцией наблюдатель устраняет результаты предыдущей, а вся дорожка поправок коррекции лежит в полосе ±0.15  угл. сек. В течение 40 мин. телескоп сопровождал объект только программным ведением (облачность) и при появлении объекта наблюдатель ввел поправки коррекции  (+ 0.1 и – 0.3 ) угл. сек.,  но даже и эти поправки были устранены следующей коррекцией ( см. рис. 3 и табл. 2 и 3).

В целом, эти данные показывают, что в ведении БТА при Z 60º накопленная ошибка практически отсутствовала, а все операции коррекции наблюдателем программного ведения лежат в полосе шириной ±0.15 угл. сек., то-есть в пределах разрешающей способности ДОСов.

2.2            В программах с ПЗС-камерой ПФ БТА (наблюдатель А.И.Ко­пылов) проявляется асимметрия изображений с вытянутостью (0.1 - 0.З) угл. сек. при экспозициях без коррекции длительностью 10 мин. Даже если всю эту асимметрию отнести за счет накопленных ошибок ведения, то получим оценку качества ведения. Накопленная ошибка программного ведения не превышает 0.3 угл. сек. за 10 мин. экспозиции. Однако нужно учесть, что наблюдения ведутся без корректора и асимметрия изображений включает в себя полевую кому, так что оценка качества ведения только улучшается. Это подтверждается и зависимостью асимметрии от качества изображения: при β ≈ 1.4 угл. сек. асимметрия проявляется со значением 0.1 угл. сек., а при β ≈ 2 угл. сек. уже не проявляется. Это показывает, что кома - основная причина наблюдаемой асимметрии, так как именно она замывается атмосферной деградацией изображения, тогда как ошибки ведения должны при этом полностью сохраняться. Отсюда можно сделать вывод, что при наблюдениях с  ПЗС-камерой ПФ БТА накопленная ошибка программного ведения БТА не превышает значений (0.1 - 0.2) угл. сек., то-есть 0.1 размера изображений (все оценки β получены стандартной методикой - ширина на половине интенсивности). Лучшие результаты ведения на современных наземных телескопах получаются только с применением локальных корректоров волнового фронта.

2.3            Устные заявления наблюдателей группы В.Л. Афанасьева о визуальном обнаружении "болтанки" телескопа с размахом от 1.5 до 5 угл. сек. основаны на недоразумении и не подтверждаются уже в описанных выше экспериментах. На наблюдениях 10 мая и 15 мая 1997 г. было продемонстрировано, что под "колебаниями телескопа" наблюдатели понимали переливания яркости в слабом изображении звезды гидирования при β 1.8 угл. сек. При увеличении яркости звезды гидирования эффекты, называемые "болтанкой телескопа", естественно уменьшались. Данные датчиков на подвесках А и Z так же не показали каких-либо колебаний телескопа во время экспозиций (в отсутствие внешних возмущений).

Здесь наблюдатели столкнулись с известной проблемой определения центра изображения при предельной слабости объекта гидирования (коррекция выполнялась по звездам 18-19 величины при видимом фоне неба). Наблюдательный материал, полученный А.И. Копыловым в технические ночи 20/21.5.1997, даст количественные данные к этой проблеме.

3. Выводы

1.     Точность наведения в фокусе N2 БТА составляет

DA*sin Z = (+2.2 ± 3.0) угл. сек.

DZ = (+1.2 ± 1.7) угл. сек.

С устранением счетной ошибки кружок рассеяния ошибок наведения должен свестись к значению ±2 угл. сек.

Точность наведения в других фокусах сейчас не вызывает замечаний наблюдателей, и может быть доведена до значений для фокуса N2.

2.               В программном ведении БТА не обнаруживаются накопленные ошибки программного ведения, превышающие 0.2 угл. сек. при экспозициях от 10 до 40 мин. (и даже 100 мин.). Операции коррекции ведения наблюдателем лежат в полосе ±0.15 угл. сек., то-есть в пределах чувствительности ДОСов. Утверждения о визуально обнаружимой повышенной "болтанке телескопа" не подтвердились (кроме уже известной).

3.               Компенсация вращения поля в ПФ замечаний не имела.

В докладной и в претензиях наблюдателей отмечалась потеря возможности пользоваться информацией от УВК АСУ. Эта ситуация была создана искусственно, и после разрешения А.Ф. Назаренко работать над задачами АСУ БТА практически за I день были восстановлены наработки отдела информатики по обмену информацией с терминалами наблюдателей как по прямому каналу УВК - сервер, так и по штатному (А.Ф. Назаренко, В.П. Шергин совместно с СЭК БТА). В течение месяца работали в наблюдениях оба варианта, с их достоинствами и недоработками.

 

3 июня 1997 г.                   Отв. астроном БТА    Снежко Л.И.


 

 

Таблица 1. Поле ошибок наведения в фокусе N2

21.05.1997

Z

А

D

DA

DZ

DDA

DDZ

34.6

305.5

19.2

-2.8

0.0

5.1

1.0

63.2

240.8

38.8

-.5

1.2

3.2

0.8

24.5

5.2

19.2

2.1

-0.2

0.4

1.2

43.9

255.1

38.8

-2.3

2.2

4.5

-0.9

7.0

290.4

40.8

-.8

-2.4

3.0

1.9

10.0

272.1

42.5

-.6

-0.3

2.6

0.0

26.4

272.2

37.3

-2.0

1.9

4.0

-1.4

38.3

272.6

31.4

-.9

2.5

3.1

-1.4

49.7

279.9

20.5

-3.2

1.1

5.7

0.5

10.3

359.7

33.3

4.0

-1.9

-1.5

2.1

17.0

356.3

26.7

3.8

-0.4

-1.3

0.9

24.2

351.6

19.7

3.5

- 0.6

-1.1

1.4

37.3

354.2

6.4

2.6

0.9

-0.1

0.6

53.2

5.2

-9.4

2.1

0.0

0.7

2.2

15.9

106.6

46. 1

4.3

0.9

-2.4

0.0

18.2

99.4

43.9

4.7

0.8

-2.8

0.3

32.9

95.9

38.3

7.1

2.7

-5.0

-0.9

43.1

94.8

33.1

8.1

2.7

-5.9

-0.5

62.5

92.9

20.5

6.8

0.9

-4.0

2.0

11.2

171.8

54.8

1.5

1.7

0.0

-1.4

19.3

171.9

62.6

2.7

2.8

-1.2

-2,1

34.3

177.3

77.8

3.3

4.4

-1.6

-3.0

39.4

178.4

82.9

3.4

4.2

-1.6

-2.6

49.7

180.2

86.6

4.6

3.9

-2.5

-1.9

64.9

182.8

71.3

4.1

1.3

-1.4

1.2

 

Здесь: DA, DZ - измеренные ошибки наведения,

    DDA , DDZ - редуцированные ошибки наведения.

 

Расчетные поправки к коэффициентам СКН

 

DATE:  21.05.1997

 

DZ0=

SIGMA=

SIGMA=

-  0.4

0.8

1.6

D=

SIGMA=

3.2

1.3

DS=

SIGMA=

0.7

0.6

 

DA0=

SIGMA=

SIGMA=

-1.2

9.1

3.3

L=

SIGMA=

-2.5

12.6

K=

SIGMA=

4.7

14.7

 

 

 

 

 

 

 

Рис 2. Гистограммы распределения ошибок наведения

21.05.1997 г., фокус N2 БТА.

 

 

Таблица 2. Запись процесса коррекции ведения 15.05.1997 г. ПФ

 

15.05.

1997

ПФ

Тм -22

DA*

sin Z

DZ

 

 

 

036.6

+0.0

+0.2

039.0

+0.0

+0.0

040.0

-0.2

-0.3

040.5

-0.2

-0.0

041.0

+0.1

+0.0

045.3

+0.3

-0.2

047.1

+0.3

+0.0

049.4

+0.4

-0.3

050.8

+0.2

-0.3

051.4

+0.4

-0.2

052.2

+0.4

-0.2

054.7

+0.4

-0.3

056.4

+0.5

-0.0

058.5

+0.5

-0.1

059.8

+0.4

-0.0

062.9

+0.5

+0.0

063.6

+0.7

+0.0

064.8

+0.7

+0.1

065.2

+0.5

+0.1

066.0

+0.4

+0.1

066.5

+0.4

+0.0

067.2

+0.4

+0.0

108.6

+0.5

-0.3

110.3

+0.4

+0.0

134.5

+0.5

+0.0

135.7

+0.2

+0.1

138.1

+0.3

+0.0

139.3

+0.2

-0.6

140.2

+0.3

-0.5

140.6

+0.2

-0.3

141.3

+0.3

-0.2

143.3

+0.3

-0.2

144.8

+0.1

-0.2

 

Приведены накопленные поправки коррекции DA*sin Z и DZ в угл. сек.

 

 

 

 

 

Таблица 3.

 Результаты операции коррекции наблюдателем программного ведения БТА

 

Dt

DA*

sin Z

DZ

2.4

+0.0

-0.2

1.0

-0.2

-0.3

0.5

+0.0

+0.3

0.5

+0.3

+0.0

4.7

+0.2

-0.2

1.8

+0.0

+0.2

2.3

+0.1

-0.3

1.4

-0.2

+0.0

0.6

+0.2

+0.1

0.8

+0.0

+0.0

2.5

+0.0

-0.1

1.7

+0.1

+0.3

2.1

+0.0

-0.1

1.3

-0.1

+0.1

3.1

+0.1

+0.0

1.7

+0.2

+0.0

0.8

+0.0

+0.1

0.4

-0.2

+0.0

0.8

-0.1

+0.0

0.5

+0.0

-0.1

0.7

+0.0

+0.0

1.7

-0.1

+0.3

2.4

-0.3

+0.1

1.1

+0.1

-0.1

41

+0.1

-0.3

24

+0.1

+0.0

 

Где: Dt в мин. – время между операциями коррекции.

DA* sin Z и DZ в угл. сек. – результат данной коррекции.