Наиболее
важные
научные достижения за 2011-2020 гг.
1)
Изучая распределения звезд разного возраста в
иррегулярных и спиральных галактиках мы нашли для каждой галактики
ясную
зависимость между возрастом звезд и пространственным размером
подсистемы звезд
этого возраста. Мы считаем, что найденную нами зависимость может
объяснить
гипотеза расширения галактик со временем.
|
Tikhonov
N., Galazutdinova O., AA Transac., V. 27, Iss.2, 227, 2012.
Тихонов
Н.А., Галазутдинова О.А., Письма в АЖ, Т.
38, №3, c. 172, 2012.
Тихонов
Н.А., Письма в АЖ, Т. 38, №8, c. 562,
2012.
Тихонов
Н.А., Письма в АЖ, Т. 39, №5, c. 332,
2013.
|
 |
Рис.
1. HST изображение одной из исследованных галактик PGC 9962
(вверху). Диаграмма Герцшпрунга–Рессела звезд этой
галактики с вписанными изохронами (слева
внизу) и диаграммы распределения численной плотности звезд разного
возраста перпендикулярно плоскости диска (справа внизу). Цифрами
на графиках обозначен возраст звезд в миллионах лет.
|
2) На основе снимков космического
телескопа Хаббла
изучена, вероятно, самая загадочная галактика неба –
NGC 1313. На
обычных
снимках она выглядит как нормальная спиральная галактика, а на глубоких
снимках
видно, что галактика сильно искажена гравитационным взаимодействием.
Однако на
снимках не видно никакой соседней галактики, которая могла бы создать
эту
деформацию звездной структуры. Мы провели звездную фотометрию 8 полей
NGC 1313 и
ее карликового спутника –
AM0319-662 и изучили видимое распределение в
галактике звезд разного возраста и металличности. Было найдено, что
пространственное распределение звезд с малой металличностью существенно
отличается от распределения звезд с высокой металличностью. Это
различие
позволило нам выявить фрагменты разрушенной карликовой галактики, к
настоящему
моменту почти слившейся с NGC 1313. Эта исчезнувшая галактика и была
причиной
гравитационной деформации NGC 1313.
|
Тихонов Н.А., Галазутдинова О.А., Письма в АЖ,
Т. 42, № 7,
c. 476-493, 2016.
Тихонов Н.А., Галазутдинова О.А., Загадка галактики NGC1313 (постер), ВАК-2017, Ялта, 17-22 сентября, 2017.
|

Рис. 2. Галактика
NGC 1313 (фото 8м
телескопа VLT).
|
|
3) Нами
разработана методика определения размера
групп и скоплений галактик по распределению интегрального числа
галактик от
квадрата расстояния от центра. Для 29 систем галактик мы определили
динамические массы в пределах эффективного радиуса Re,
которые в
1.65 раза меньше масс, заключенных в пределах радиуса R200.
Сравнение
полученных динамических масс и масс, измеренных по излучению горячего
газа
групп и скоплений (из литературы) позволил нам сделать вывод, что для
основной
подвыборки (22 объекта), не включающей формирующиеся скопления с
иррегулярной
структурой, динамические массы превышают рентгеновские в среднем на 12%
со
среднеквадратичным разбросом 35%.
Копылов
А.И., Копылова Ф.Г., Астрофизический
бюллетень, Т. 70, №3,
с.
257, 2015.
Рис.
3. Приведено сравнение масс, полученных
по излучению газа в рентгеновской
области, и динамических масс M200. Объекты
основной подвыборки показаны заполненными кружками.
|
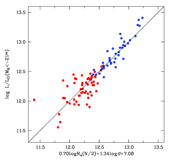
4) Нами разработан новый метод определения размера скопления галактик, области с радиусом Rh (или Rsp) (больше R200) по интегральному распределению числа галактик от квадрата расстояния от центра, где Rh (или Rsp) –
радиус апоцентра орбит галактик системы. Это позволило определить у
систем галактик полную светимость и количество галактик, исправленные
за фон. Полная K-светимость, эффективный радиус, содержащий либо
половину светимости, либо половину числа галактик и дисперсия лучевых
скоростей систем галактик образуют Фундаментальную плоскость (ФП) LK = Re0.70(N/2)×σ1.34. Для сравнения для 16 скоплений галактик в (Schaefer et al., MNRAS, L21, 263, 1993) в фильтре V другим методом получено: LV = Re0.89×σ1.28.
Копылова
Ф.Г., Копылов А.И., Астрофизический бюллетень, Т. 71, №3, с.279, 2016.
Рис. 4. Фундаментальная плоскость групп и скоплений галактик в ИК-области. Регрессионное соотношение имеет вид: LK = Re0.70(N/2)×σ1.34. Красными кружками показаны группы галактик с σ< 420 км/с.
|
5) На
основе снимков космического телескопа Хаббла проведена звездная фотометрия трех
полей в скоплении галактик Дева. На полученных диаграммах Герцшпрунга-Рессела
видны ветви старых красных гигантов, принадлежащие галактикам скопления. На
основе TRGB метода определены расстояния до 8 галактик скопления Дева (D = от
14 до 18 Мпс). Методом подсчета звезд определены градиенты звездной плотности и
пространственные размеры дисков и гало галактик. Показано, что звездная
периферия этих галактик занимает всю область исследуемых полей, а звезды,
принимаемые ранее исследователями за межгалактические звезды, являются звездами
периферии соседних галактик.
Тихонов
Н.А., Письма в АЖ, Т. 43, № 1, c. 21, 2017.
Рис.
5. Изображение галактик LBS 31, NGC 4407 и VCC 871 на снимке DSS
обзора. Квадратом отмечено поле F2 космического телескопа Хаббла с
камерой ACS/WFC. Эллипсы вокруг NGC 4407 и VCC 871 отмечают видимые
границы звездных подсистем этих галактик. Видно, что подсистемы
перекрывают снимок HST телескопа и делают невозможным поиск в этом поле
межгалактических звезд. Размер снимка 10'×10', север – вверху.
|
6) По архивным данным каталога SDSS (DR10) для
скоплений галактик A1656 (Coma), A1139, A1314 (сверхскопление Leo), A2040,
A2052, A2107 (сверхскопление Hercules) определен удельный темп звездообразования. Нами получено, что доля галактик с пониженным
звездообразованием log sSFR < –1.75 Gyr-1
непрерывно уменьшается с радиусом скоплений от 0.87±0.02 в центре до
0.43±0.03 на периферии, за пределами Rsp. При этом остается
больше, чем в поле в среднем на 26%. Нами также найдено, что галактики
активно образующие звезды находятся, как правило, на периферии
скоплений галактик и имеют дисперсию больше, чем галактики, с
пониженным звездообразованием.
Копылова
Ф.Г., Копылов А.И., Астрофизический бюллетень, Т. 73, №2, с.281, 2018.

Рис. 6.
Вариации пространственного распределения и кинематики галактик в
скоплениях в зависимости от их удельного темпа звездообразования (log
sSFR), разделенных на 4 бина. Размеры значков соответствуют этим бинам:
большие значки – log sSFR = [–1.75,–1.35], [–1.35,–1.05] Gyr–1, маленькие значки – [–1.75,–4.00], [–4.00,оставшиеся] Gyr–1. Таким образом, большими значками обозначены галактики, образующие звезды, маленькими – галактики с пониженным звездообразованием.
|
7) Для
выяснения границы влияния гигантских галактик групп и скоплений на соседние
карликовые галактики, по снимкам космического телескопа Хаббла проведена
звездная фотометрия девяти полей вокруг гигантской эллиптической галактики М87
из скопления Virgo. Получены диаграммы Герцшпрунга-Рессела, на которых видны
населенные ветви красных гигантов и AGB звезд. На основе TRGB-метода определены
расстояния до М87 по каждому полю. Найдено увеличение модуля расстояния при приближении
к центру галактики, что указывает, либо на влияние высокометалличных красных
гигантов, либо на существование вокруг М87 слабого газопылевого облака
диаметром, примерно, 20' и максимальным поглощением в фильтре I до 0.18m вблизи центра
галактики. Среднее значение модуля расстояния по удаленным от центра М87 полям
равно (m–M)=30.93, что соответствует расстоянию D=15.4 Мпс. Это значение ставит М87 не
в центр скопления, а на его ближний край. Звездная подсистема галактики определена
до расстояния 190 кпс и имеет еще большее продолжение. Показано, что звезды на
этом расстоянии принадлежат галактике М87 и не являются межгалактическими
звездами, как считалось ранее. Впервые измерены расстояния до трех карликовых
галактик: P4_anon, NGC4486A и VCCA039, которые оказались спутниками М87.
Тихонов Н.А., Галазутдинова О.А.,
Каратаева Г.М., Астрофизический
бюллетень, Т. 74, №3, с.276, 2019.

Рис. 7. Изображение области скопления галактик Дева с галактикой М 87 на снимке DSS обзора.
|
8)
С целью изучения
свойств скоплений галактик, свойств
галактик в них и их окрестностях нами составлена выборка из 157 групп и
скоплений галактик локальной Вселенной (0.01<z<0.10) c
200<σ<1100 км/c. Мы измерили глобальные характеристики
выборки (по данным Sloan
Digital Sky Survey) и представили их в Таблице.
A.I. Kopylov and F.G. Kopylova, Astrophysical
Bulletin,70, p.243, 2015.
F.G. Kopylova and A.I. Kopylov, Astrophysical
Bulletin, 71, p.129, 2016.
F.G.Kopylova and A.I. Kopylov, Astrophysical
Bulletin, 72, p.111, 2017.
F.G. Kopylova and A.I. Kopylov, Astrophysical
Bulletin, 73,
p.267, 2018.
F.G. Kopylova and A.I. Kopylov, Astrophysical
Bulletin, 74,
p.337, 2019.
|
|
9)
На основе архивных снимков космического телескопа Хаббла проведена
звездная фотометрия винфракрасном и видимом диапазонах полей в
галактиках Maffei 1, Maffei 2 и IC 342, свет от которыхиспытывает
сильное поглощение газопылевыми облаками нашей Галактики. На полученных
диаграм-мах Герцшпрунга-Рессела выделены ветви красных гигантов и
определены положения их верхнихграниц и показателей цвета. Сравнение
показателей цвета ветви красных гигантов с аналогичнымипоказателями у
галактик, не испытывающих поглощения света, позволило определить
величинупоглощения света у Maffei 1, Maffei 2 и IC 342: AV
= 3.06, 3.65 и 0.95, соответственно. Найдено, чтоэти галактики
расположены на расстояниях 6.6, 6.8 и 3.9 Мпк. Полученные значения
существенноотличаются от расстояний до этих же галактик (3.4,3.5 и 3.5
Мпк), измеренных Wu et al.
в 2014 году потем же снимкам. Проведенные нами измерения показывают,
что Maffei 1 и Maffei 2 не образуют единую группу с галактикой IC 342,
как это считалось ранее.
Тихонов Н.А., Галазутдинова О.А., Астрофизический
бюллетень, Т. 73, №3, с. 294, 2018
|
|
|
|