Важные
научные достижения
1)
Открыта
новая яркая галактика
Местной группы VV124
(UGC4879). Последнее открытие подобной яркой галактики Местной группы
было
сделано 40 лет назад. Учитывая все работы прошедших лет по поиску
близких
галактик, можно утверждать, что VV124 является последней яркой
галактикой,
принадлежащей Местной группе галактик.
Kopylov A.I., Tikhonov
N.A., Fabrika
S.N., Drozdovsky I.O., Valeev A.F., MNRAS
Lett., V. 387, Issue 1, L45, 2008.
Тихонов
Н.А.,
Фабрика С.Н., Шолухова О.Н., Копылов А.И., ПАЖ , 36,
323, 2010.
|

Рис. 1.
Галактика VV124 (фото БТА).
|
|
|
2) В течение нескольких десятков
лет была популярна
гипотеза о возможном существовании в относительно близкой от нашей
Галактики
окрестности первичных молодых галактик с низким содержанием металлов и
первой в
истории этих галактик волной звездообразования. В качестве образца
галактик этого
типа всегда называлась галактика 1Zw18. Используя снимки космического
телескопа
Хаббл мы провели звездную фотометрию 1Zw18 и впервые нашли в этой
галактике
красные гиганты с возрастом несколько миллиардов лет, что сразу
отвергало
гипотезу молодости этой галактики.
Тихонов Н.А., ПАЖ ,
33,
163,
2007.
|

Рис. 2.
Галактика 1Zw18 (фото HST).
|
|
|
3) Определены динамические и фотометрические
(инфракрасные – в фильтре K) характеристики 183 групп и скоплений
галактик,
раcположенных в областях сверхскоплений галактик Hercules, Leo, Ursa
Major,
Bootes, Corona Borealis, а также вне сверхскоплений, с красными
смещениями в
интервале 0.012 < z < 0.09 (и близкое скопление Virgo) по архивным
данным
каталогов SDSS, 2MASX, NED. Инфракрасная светимость систем галактик,
соответствующая в основном светимости старых звезд галактик ранних
типов,
позволяет в первом приближении оценить их массы по
построенному нами
соотношению между динамической массой и инфракрасной светимостью. Для
систем
галактик в областях сверхскоплений Hercules и
Leo определено отношение числа
ярких карликовых галактик к числу гигантских в фильтре r и найдено, что
это
отношение растет с ростом рентгеновской светимости для систем с log LX
> 43.5 эрг/c.
Копылова Ф.Г., Копылов А.И., Астрофиз. бюлл., 64, 1, 2009.
Копылова Ф.Г., Копылов А.И., ПАЖ, 37, 243, 2011.
Копылова Ф.Г., Астрофиз. бюлл., 68, 268, 2013.
Копылова Ф.Г., Копылов А.И., ПАЖ,
39, 1, 2013.
Копылова Ф.Г., Копылов А.И., Астрофиз. бюлл., 70, 129,
2015.
|

Рис. 3.
Зависимость инфракрасной
светимости от
динамической массы 183 групп и
скоплений галактик. Синими квадратами
показаны рентгеновские скопления галактик (с дисперсией лучевых
скоростей
больше 400
км/с), красными – группы галактик (дисперсия меньше 400 км/с), а
голубыми – системы без измерений рентгеновской светимости.
|
|
|
4) По данным каталогов
SDSS DR8 нами проведено изучение пекулярных движений скоплений и групп
галактик в областях сверхскоплений галактик Hercules, Leo, Bootes, Ursa
Major, Corona Borealis, A2142, Z5029/A1424, A1190, A1750/A1809. Для
этого составлена выборка галактик ранних типов в них, по фундаментальной плоскости которых определены расстояния и пекулярные
скорости. Для всех сверхскоплений галактик выполняется закон Хаббла
между лучевой скоростью и полученным по фундаментальной плоскости которых определены расстояния и пекулярные
скорости. Для всех сверхскоплений галактик выполняется закон Хаббла
между лучевой скоростью и полученным по фундаментальной плоскости
расстоянием. В их пределах наблюдаются значительные пекулярные движения
вдоль луча зрения с дисперсиями 736±50 км/с в Hercules, 625±70 км/с
в Leo, 757±70 км/с в Bootes, 290±120 км/с в Ursa Major, 652±50
км/с в Corona Borealis, 1366±170 км/с в Z5029/A1424. Найденные нами
пекулярные движения скоплений галактик в области Corona Borealis
характеризуют гравитационную связанность этого сверхскопления со
сверхскоплением A2142. Дисперсия пекулярных скоростей 20 скоплений
галактик, не входящих в крупные структуры, равна 0±20 км/с.
Копылова Ф.Г., Копылов А.И., ПАЖ, 33, 243, 2007.
Копылова Ф.Г., Копылов А.И., ПАЖ, 659, 2014.
Копылова Ф.Г., Копылов А.И., Астрофиз. бюлл., 72, 399, 2017. |

Рис. 4. Карта распределения галактик
и скоплений галактик в области сверхскоплений Hercules и Leo в
диапазоне
лучевых скоростей cz = 8000–13000 км/с.
|
|
|
5)
Выполнено исследование сложных эйбелловских
скоплений (бимодальных) с разницей лучевых скоростей между
субскоплениями около
3000 км/с, которая может быть связана либо с гравитационным
взаимодействием
очень массивных скоплений при их столкновении вдоль линии близкой к
направлению
луча зрения, либо с проекцией на луч зрения не связанных между собой
обычных
скоплений. Используя данные наблюдений на 1-м телескопе САО РАН и
данные SDSS,
нами были измерены относительные расстояния (по соотношению Корменди и
фундаментальной плоскости) и определена структура скоплений A1035,
A1569, A1775
и A1831. Найдено, что субскопления в этих скоплениях не связаны
гравитационно,
и для них выполняется закон Хаббла.
Копылов А.И., Копылова Ф.Г., Астрофиз. бюлл., 62, 329, 2007.
Копылов А.И., Копылова Ф.Г., Астрофиз. бюлл., 64, 213, 2009.
Копылов А.И., Копылова Ф.Г., Астрофиз. бюлл., 65, 217, 2010.
Копылов А.И., Копылова Ф.Г., Астрофиз. бюлл., 67, 19, 2012.
|

Рис. 5. Диаграмма Хаббла (скорость,
zspec – zphot) для четырех бимодальных скоплений галактик
(A-компоненты
слева, B-компоненты справа), а также скопления A1589 – расстояние, ближайшего
богатого
соседа (12 Мпк) скопления А1569A.
|
|
|
6) Найдена зависимость между физическими
параметрами маломассивных спиральных и иррегулярных галактик. На основе
звездной фотометрии снимков космического телескопа Хаббла в 53 маломассивных
спиральных и иррегулярных галактиках выделены
молодые (сверхгиганты) и старые (красные гиганты) звездные подсистемы и
определены их пространственные размеры, а также металличность красных гигантов.
Впервые найдена хорошо выраженная корреляция между металличностью красных
гигантов и разностью размеров звездных подсистем разного возраста. Полученная
корреляция интерпретируется как результат совместного действия двух
зависимостей: 1) между массой галактик и металличностью звезд, 2) между
изменением размеров звездых подсистем и временем эволюции галактик, где в
качестве временной шкалы принимается изменение металличности галактик.
Tikhonov
N.A., Astronomical Society of the Pacific Conference Series, 510, 488,
2017.
|

Рис. 6.
Диаграмма зависимости между разностью размеров (R–B) подсистем красных
гигантов (R) и голубых сверхгигантов (B) и металличностью красных
гигантов [Fe/H] этих же галактик. Найденную зависимость можно
интерпретировать как увеличение размеров звездных подсистем иррегулярных галактик за время их эволюции.
|
|
|
7) В
105 иррегулярных или маломассивных спиральных галактиках по снимкам
космического телескопа Хаббла проведена звездная фотометрия.
TRGB-методом определены расстояния до галактик и измерены металличности
старых звезд – красных гигантов. В качестве индекса металличности
молодых звезд взят показатель цвета (V–I) ветви красныхсверхгигантов, поскольку он зависит от металличности звезд.
На
основе полученных результатов построена диаграмма зависимости между
металличностью молодых и старых звезд. Хорошее соответствие между
сравниваемыми металличностями указывает, что основной процесс насыщения
галактик металлами происходил на ранних этапах их эволюции, а возможное
падение на галактики малометалличных межгалактических облаков газа
оказывает незначительное влияние на изменение металличности галактик.
Тихонов
Н.А.,
Астрофиз. бюлл., 73, 23, 2018.
|

Рис. 7. Зависимость между металличностью красных гигантов и показателем цвета (V–I)
красных сверхгигантов, который служит эквивалентом металличности
молодых звезд этих же галактик. При процессах падения на галактики
значительных масс малометалличного газа, точки на диаграмме сдвинутся в
сторону меньших значений (V–I),
как это наблюдается у галактики КК16. В нарисованный на диаграмме
параллелограмм попадают те галактики, где вероятно наблюдается падение
межгалактического газа.
|
|
|
8) Для
84 групп галактик с σ < 420 км/с на зависимости «разность
звездных величин первой и четвертой по яркости галактик» и
«концентрация галактик», определенной по пятой галактике от центра, мы
выделили области расположения «молодых»систем галактик и «старых». Мы
оценили динамические возраста групп галактик, сравнивая светимость
ярчайшей галактики и разности звездных величин с теоретическими
модельными расчетами (Raouf et al., 2014, MNRAS, 442, 1578).
Вероятность принадлежности выделенных групп к разряду «старых» или «молодых» равна 50%. Найдено, что доля галактик ранних типов в системах
галактик не зависит ни от концентрации галактик ни от массы или полной
светимости и рентгеновской светимости.
|

|
Копылова Ф.Г., Копылов А.И., Астрофиз. бюлл., 72, 111, 2017.
|
Рис. 8.
Зависимость разности звездных величин ΔM1,4 от концентрации
галактик Σ5. Группы галактик с z < 0.027 и σ < 420
км/c показаны заполненными кружками, группы с z > 0.027 и σ
< 420 км/с – пустыми кружками, точками – богатые скопления галактик
с σ > 420 км/с. Большими треугольниками показаны динамически «старые» c вероятностью
выше 50% системы галактик, большими кругами – динамически «молодые» с
такой же вероятностю. Прямая линия, соотвествующая ΔM1,4 =
2.5, отделяет кандидаты в самые старые группы галактик типа «fossil».
|
|
|
9) Нами разработан новый метод определения размера скопления галактик, области с радиусом Rh (или Rsp) (больше R200)
по интегральному распределению числа галактик от квадрата расстояния от
центра, где Rh (или Rsp) – радиус апоцентра орбит галактик
системы. Это позволило определить у систем галактик полную светимость и
количество галактик, исправленные за фон. Полная K-светимость,
эффективный радиус, содержащий либо половину светимости, либо
половину числа галактик и дисперсия лучевых скоростей систем галактик образуют Фундаментальную плоскость (ФП) LK = Re0.71×σ1.33. Нами также построена ФП в рентгеновской области, LX = Re1.26×σ2.70. Кроме того, нами получено, что форма ФП скоплений согласуется с формой ФП галактик ранних типов в фильтре r (SDSS).
Копылова
Ф.Г., Копылов А.И., Астрофиз. бюлл., 71, 279, 2016.
|

Рис. 9. Фундаментальная плоскость галактик
ранних типов (красные кружки) и групп и скоплений галактик (синие
кружки) относительно длинной оси logRe. Эффективный радиус Re
скоплений галактик определен как радиус, содержащий половину галактик систем.
|
|
|
10)
С целью изучения темпа звездообразования, морфологического состава и
других характеристик в окрестности скоплений галактик нами составлена
выборка из 27 скоплений, имеющих следующие параметры: 0.020 < z < 0.045 и σ
> 400 км/с. Для них мы измерили по архивным данным
каталогов SDSS DR7-8, 2MASX, NED динамические характеристики и
определили ближайшие окрестности в единицах радиуса R200
(радиуса, в пределах которого плотность в скоплении превышает
критическую плотность Вселенной в 200 раз), и в единицах радиуса
апоцентра орбит галактик Rsp ~ 1.5·R200, найденного нами по наблюдаемому профилю скоплений галактик.
|
 |
Копылова
Ф.Г., Копылов А.И., Астрофиз. бюлл., 74, 4, 289, 2019.
|
Рис. 10. Распределение
галактик в скоплении A2040 (z = 0.045, σ
= 589 км/с). На верхнем
левом рисунке показано отклонение лучевых скоростей галактик – членов скоплений и галактик, отнесенных к фону, от средней
лучевой скорости скопления в зависимости от квадрата радиуса
(расстояния от центра скопления). На нижнем левом рисунке – интегральное распределение числа галактик в зависимости от квадрата
радиуса скопления. На верхнем правом рисунке – расположение галактик в
плоскости неба в экваториальных координатах. На нижнем правом рисунке –
гистограмма распределения лучевых скоростей всех галактик в пределах
радиуса R200 (для нее показана функция Гаусса, соответствующая
дисперсии лучевых скоростей скопления). Синей прерывистой линией
показан радиус R200, красной штрихпунктирной линией – радиус Rsp.
|
|
|
11) Для скоплений галактик A1656 (Coma), A1139, A1314
(сверхскопление Leo), A2040, A2052, A2107 (сверхскопление Hercules) измерена доля галактик
ранних типов на «красной последовательности», определяемой по диаграмме «цвет–величина».
Получено, что эта доля на периферии, за пределами Rsp
минимальна и соответствует значению для поля 0.24±0.01, которое имеет
тот же диапазон лучевых скоростей, размер 300 дуговых минут
и координаты центра: α = 14.5, δ = +35.
|
|
Копылова Ф.Г., Копылов А.И., Астрофиз. бюлл., 73, 3, 281, 2018. |
Рис. 11. Фазовая
диаграмма (скорость–радиус) скопления A1656. Скорость представляет
собой отношение разности лучевых скоростей галактик и средней лучевой
скорости скопления к ее дисперсии лучевых скоростей. Радиус R/R200
– расстояние галактики от центра, нормированное на радиус R200.
Красными кружками показаны галактики ранних типов «красной
последовательности». Галактики скопления отобраны в пределах 2.7σ. |
|
|
12) На основе архивных снимков космического телескопа Хаббла проведена
звездная фотометрия 18 карликовых галактик. На полученных диаграммах
Герцшпрунга–Рессела видны ветви молодых и старых звезд. Используя
результаты фотометрии красных гигантов и применяя TRGB-метод, мы впервые
определили точные расстояния для всех 18 галактик. Минимальное
расстояние имеет галактика AGC238890 (D=5.1D = 5.1 Мпк), а максимальное – AGC747826 (D=12.0D = 12.0 Мпк). Расстояния до остальных галактик заключены в этом диапазоне. По
измерению показателей цвета ветви красных гигантов выделены галактики с
низкой металличностью: AGC102728, AGC198691, AGC205590, AGC223231,
AGC731921 и AGC747826. Определено расстояние до галактики AGC198691,
обладающей рекордно низкой металличностью. Галактики AGC223254,
AGC229053, AGC229379, AGC238890, AGC731921 и AGC742601 расположены в
проекции на скопления галактик Virgo, поэтому можно использовать
полученные нами расстояния совместно со скоростями этих галактик, ранее
измеренными на Аресибо, для уточнения эффекта падения галактик на
скопление Virgo. |
 |
Тихонов Н.А., Галазутдинова О.А., Письма
в АЖ, 45, 11, 800, 2019. |
Рис. 12. HST-изображения девяти из 18 исследуемых карликовых галактик.
|
|
|
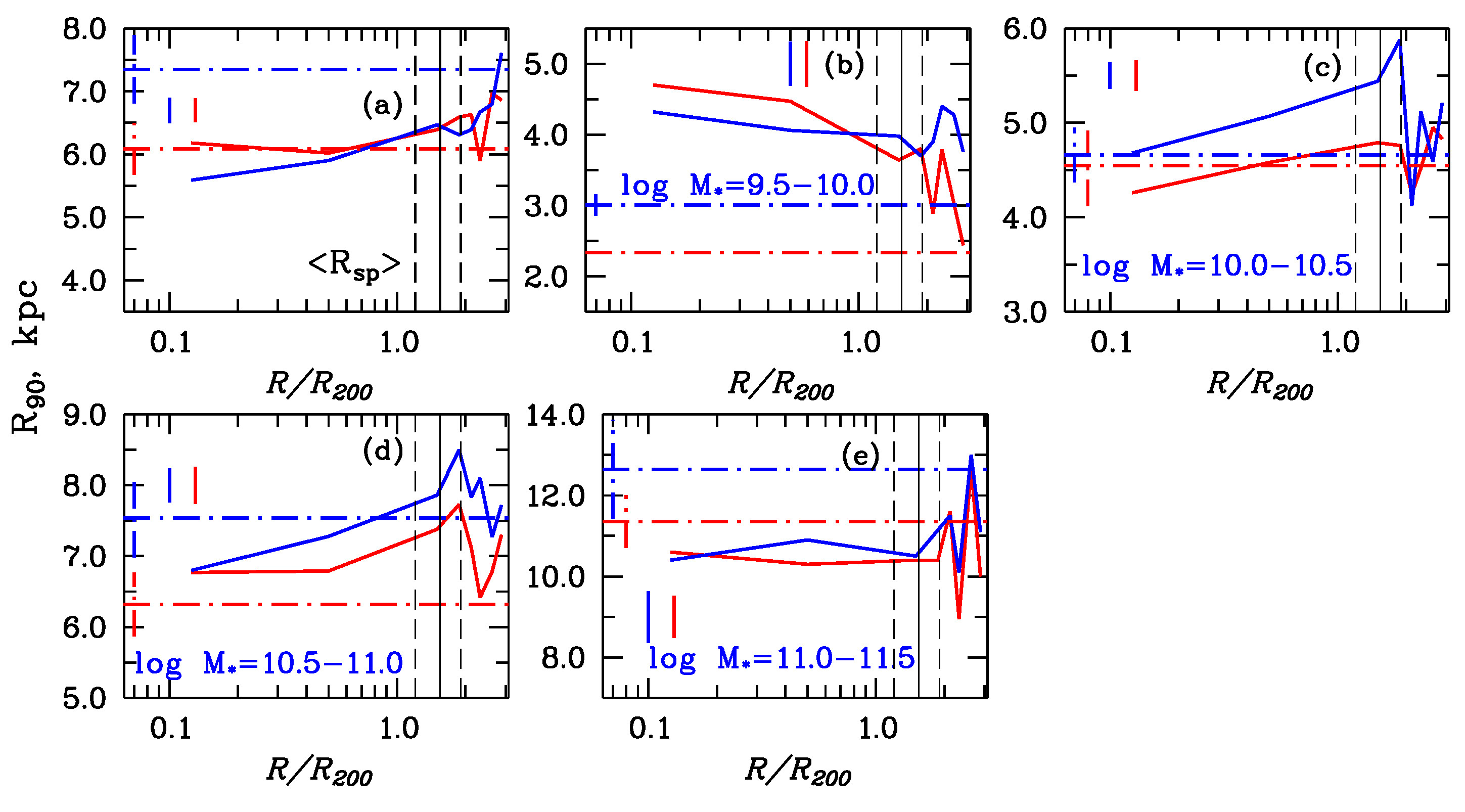
13) Для 40 групп и
скоплений галактик (0.02<z<0.045)
нами исследованы свойства галактик с подавленным звездообразованием (QGs) в
пределах `splashback' радиуса Rsp
скоплений галактик и за его пределами по данным каталога SDSS (Sloan Digital Sky Survey). Мы показываем, что из найденных
нами QGs, 72% находится в пределах Rsp,
среди которых примерно 40% галактик являются галактиками поздних типов. Около 80%
QGs имеют звездные массы в интервале logM*/Msun
= [10,11]. Нами найдено, что QGs поздних типов и в меньшей степени ранних типов
имеют максимальные угловые радиусы R90,r и R50,r вблизи «splashback» радиуса групп и скоплений галактик. Радиусы Rsp найдены нами по наблюдаемому интегральному
распределению числа галактик в зависимости от квадрата расстояния от центра
систем галактик.
|

|
Копылова Ф.Г., Копылов А.И., Астрофиз. бюлл. 75, 4, 424, 2020.
|
Рис. 13. Радиус Петросяна R90 галактик в килопарсеках
в фильтре r в зависимости от
нормированного радиуса R/R200c
для всех галактик (рис. 13a). Галактики скоплений сложены (stacked) в
соответствии с нормированным радиусом. Красными сплошными линиями среди QGs
показаны галактики ранних типов, определенные по параметру fracDeV ≥ 0.8. Синими сплошными линиями показаны галактики поздних
типов. Штрихпунктирными линиями показаны средние значения R90 для поля с ошибками. Сплошная вертикальная линия
демонстрирует средний радиус Rsp
с ошибками. На рисунках 13b, 13c,
13d,
13e галактики разбиты на бины по звездной массе. Короткие красные и синие линии
соответствуют средним ошибкам измерений радиусов.
|
|
|
|